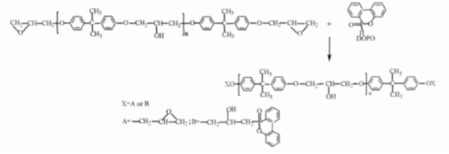
主要成分:含磷无卤酚醛环氧树脂
主要结构:
![]()
产品规格:
|
项目 |
单位 |
规格 |
|
色度 |
G |
Max3 |
|
环氧当量 |
g/eq |
225-255 |
|
固形份 |
% |
89-91 |
|
粘度 |
Cp.s |
1500-2500 |
|
可水解氯 |
Ppm |
Max500 |
|
溶剂 |
二甲苯 |
状态描述:棕色透明粘稠液体
用途:YN3570K70为因应环保要求而开发导入磷系阻燃剂的无卤型环氧树脂,以双氰胺(Dicyandiamide)做为固化剂并搭配咪唑(Imidazoles)类促进剂进行固化反应,其操作工艺与一般FR-4相近。YN3570K70与DICY进行固化,其板材阻燃性可达UL94-V0级,且燃烧时发烟量小。除保有较宽的操作窗口外,其抗剥强度及柔韧性亦保有较高的性能。除应用于覆铜板外,YN3570K70的阻燃特性在模塑材料、阻燃涂料、阻燃接着剂等领域亦可发挥极佳的性能。
包装规格:桶装或槽车
生产公司:江苏扬农锦湖化工有限公司
联系人(电话、Email):
见军
13952537881
© 2021-2024 滚球app下载 备案号: 苏ICP备05050162号-1 -网站建设: 中恒电
